中科大在氧化镓功率电子器件领域取得重要进展
近日,中国科学技术大学团队在氧化镓功率电子器件领域取得重要进展。
中科大微电子学院龙世兵教授课题组成功制备出耐高压且耐高温的氧化镓异质结二极管,以及氧化镓增强型异质结场效应晶体管。相关两篇论文入选第34届功率半导体器件和集成电路国际会议ISPSD。
能源、信息、国防、轨道交通、电动汽车等领域的快速发展,对功率半导体器件性能提出了更高要求,高耐压、低损耗、大功率器件成为未来发展趋势。氧化镓作为新一代功率半导体材料,禁带宽度大、抗极端环境强,有望在未来功率器件领域发挥重要作用。半导体禁带宽度是半导体的一个重要特征参量,其大小主要取决于半导体的能带结构,即与晶体结构和原子的结合性质等有关。但氧化镓功率半导体器件推向产业化仍有很多问题,包括边缘峰值电场难以抑制、增强型晶体管难以实现。
中科大龙世兵课题组针对前述两个痛点分别进行了研究。
目前,由于氧化镓P型掺杂仍然存在挑战,氧化镓同质PN结作为极其重要的基础器件暂时难以实现,导致氧化镓二极管器件缺乏采用同质PN结抑制阳极边缘峰值电场(例如场环、结终端扩展等)。为此,采用其他合适的P型氧化物材料与氧化镓形成异质结是一种可行解决方案。P型半导体NiO(氧化镍)由于禁带宽度大及可控掺杂的特点,是目前的较好选择。
前述课题组基于NiO生长工艺和异质PN的前期研究基础,设计了结终端扩展结构(JTE),并优化退火工艺,成功制备出耐高压且耐高温的氧化镓异质结二极管。该研究采用的JTE设计能够有效缓解NiO/Ga2O3(氧化镓)结边缘电场聚集效应,提高器件的击穿电压。退火工艺能够极大降低异质结的反向泄漏电流,提高电流开关比。最终测试结果表明该器件具有2.5mΩ·cm^2(mΩ为毫欧)的低导通电阻和室温下2.66kV(千伏)的高击穿电压,其功率品质因数高达2.83GW/cm^2(GW为吉瓦)。此外,器件在250摄氏度下仍能保持1.77kV的击穿电压,表现出较好的高温阻断特性,这是领域首次报道的高温击穿特性。

图1 结终端扩展NiO/β-Ga2O3异质结二极管(a)截面示意图和器件关键制造细节,(b)与已报道的氧化镓肖特基二极管及异质结二极管的性能比较,图片来自中科大
在增强型晶体管方面,其具有误开启自保护功能,且仅需要单电源供电,因此在功率应用中通常选用增强型器件。但由于氧化镓P型掺杂技术缺失,场效应晶体管一般为耗尽型器件,增强型结构难以设计和实现。常见的增强型设计方案往往会大幅提升器件的开态电阻,导致过高的导通损耗。
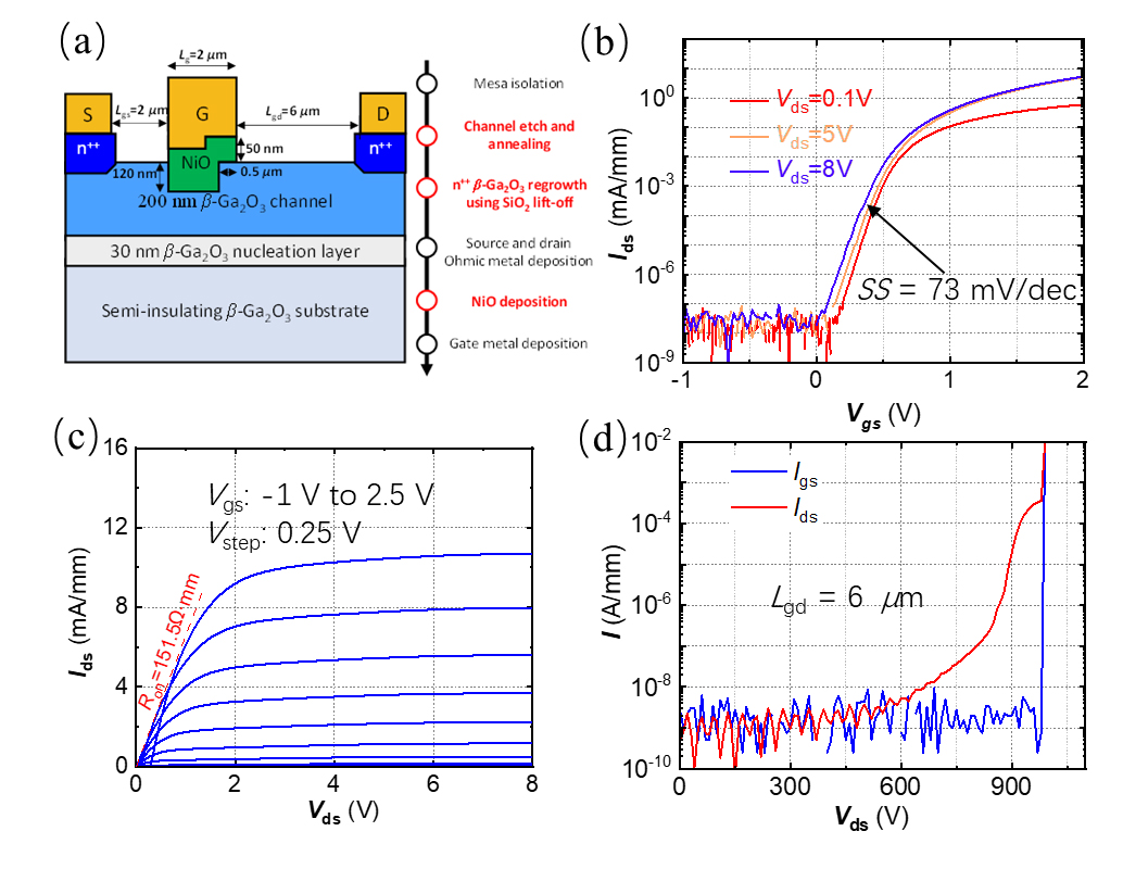
针对前述问题,龙世兵课题组在原有增强型晶体管设计基础上,引入了同样为宽禁带半导体材料的P型NiO,并与沟槽型结构相结合,成功设计并制备出氧化镓增强型异质结场效应晶体管。该器件达到0.9V(伏特)的阈值电压,较低的亚阈值摆幅,高器件跨导以及接近零的器件回滞特性,这些特性表明器件具有良好的栅极控制能力。此外,器件的导通电阻得到较好保持,为151.5Ω·mm(Ω为欧,mm为毫米),并且击穿电压达到980V。

图2 基于异质PN氧化镓结型场效应晶体管(a)结构示意图及工艺流程图,(b)不同漏极偏压的转移特性,(c)输出特性曲线,与(d)击穿特性曲线,图片来自中科大